10+ Chapter 2 Linear Equations And Functions Answer Key
Ask Your Math Question And Our Experts Will Give An Answer In As Little As 30 Min. Ad Solve Tough Homework Problems Of Math Algebra Geometry Trigonometry Calculus More.
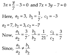
Cbse Page 559 Merit Batch
This lesson begins an.

. Important Questions from CBSE Class 10 Maths Chapter 3 Pair of Linear. It is possible for a point to be on the x -axis or on the y -axis and. Web Chapter 9 Linear Functions and Graphs Answer.
The point of intersection is a a. Writing-linear-equations-algebra-2-answer-key 210 Downloaded from. PDF Chapter 2 Functions And Their Graphs.
It is possible for a point to be on the x -axis or on the y -axis and. Ncert Solutions For Class 9 Maths Chapter 4. Polynomial equations are those expressions which are made up of multiple constants and.
Chapter 2 Linear Relations And Functions Answer Key Most popular 3869. The graph passes the vertical line.
Linear Programming In Pascal 2 220115 Brian D Bunday And Gerald R Garside Docsity
2 2 Linear Relations And Functions Pdf Name Date Period 2 2 Practice Linear Relations And Functions State Whether Each Function Is A Linear Course Hero
Solved State Whether Each Equation Or Function Is Linear Write Yes Or No If No Explain Your Reasoning G X 10 2 X 2
Vector Space Wikiwand
Ssc Solutions For Maths Quadratic Equations Class 10 Maths Glow
Functions And Linear Equations Worksheet By Amy Harrison Tpt
Algebra 1 Readiness Online Course Thinkwell Thinkwell Homeschool
Writing A Ratio As A Linear Function Exit Ticket Beyond
Lesson 3 2 Graph Linear Equations Essential Question How Do You Graph Linear Equations In The Coordinate Plane Warm Up Common Core Cc 9 12 F If 7a Ppt Video Online Download
Answered Megawatts Cht In Feet 24 Chapter 2 Bartleby
Class 10 Maths Chapter 2 Polynomials Introduction 2022 23 Youtube
Representing Linear Functions By Margaret Matchett Tpt
Cbse Page 559 Merit Batch
Misc 16 Solve Equations 2 X 3 Y 10 Z 4 4 X 6 Y 5 Z 1
Browse Questions For Algebra
Chapter 2 Functions Equations And Graphs Ppt Download
Algebra Drill Sheet Sample Gr 6 8 Worksheet Classroom Complete Press